Home ยป General Solution Of Trigonometric Equations Formula Pdf

General Solution Of Trigonometric Equations Formula Pdf Class 12 Math Nots Download Pdf Inverse Trigonometric Functions

ads/responsive.txt

ads/responsive.txt
Class 12 Math Nots Download Pdf Inverse Trigonometric Functions

Class 12 Math Nots Download Pdf Inverse Trigonometric Functions

Pdf Trigonometry Formulas For Ssc Cgl Ssc Notes Pdf

Pdf Trigonometry Formulas For Ssc Cgl Ssc Notes Pdf

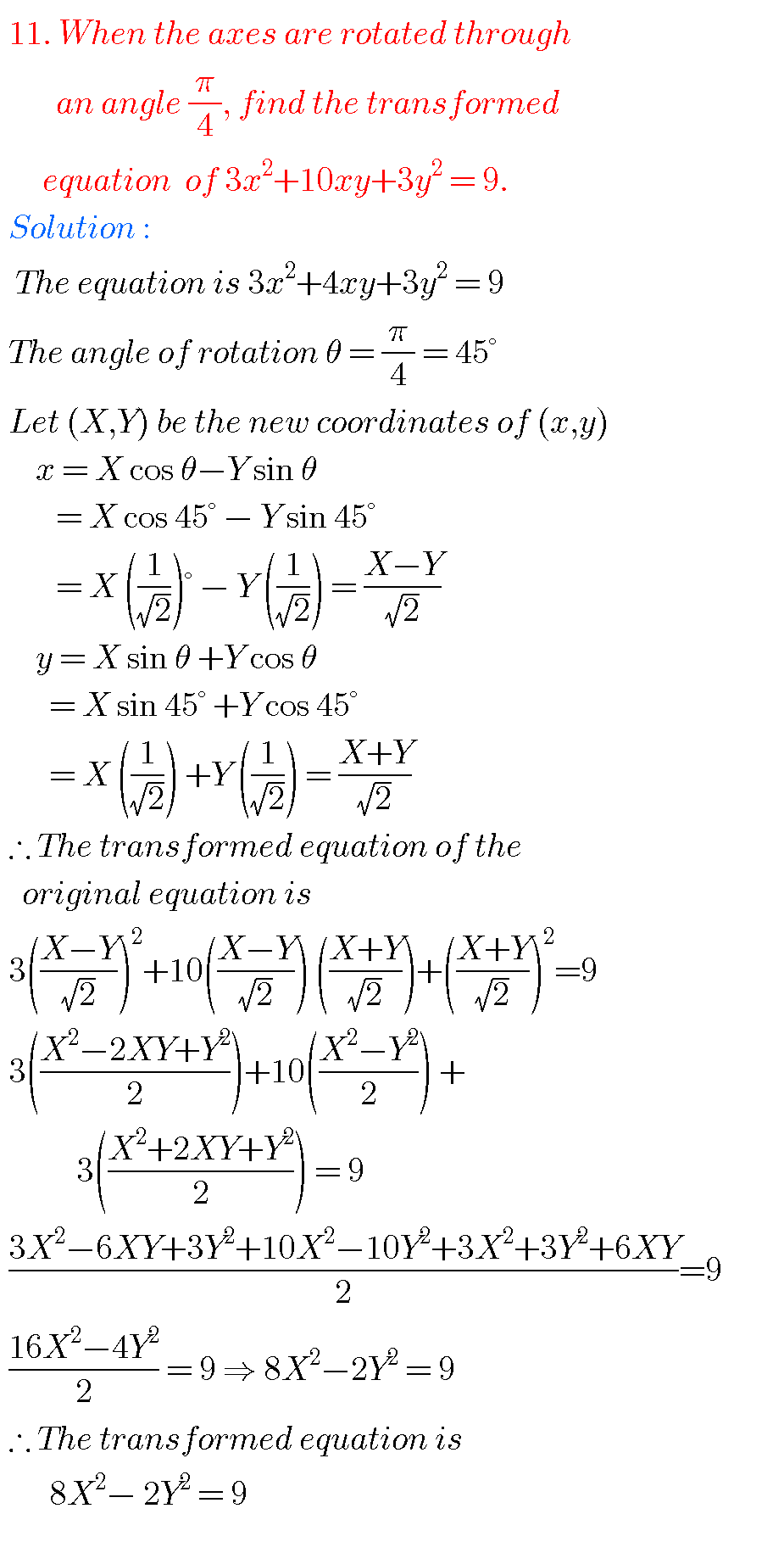
Transformation Of Axes Intermediate First Year 1b Chapter 2

Transformation Of Axes Intermediate First Year 1b Chapter 2

Trigonometry Formulas For Functions Ratios And Identities Pdf

Trigonometry Formulas For Functions Ratios And Identities Pdf

Differential Equations Class 12 Formulas Pdf With Notes Vidyakul

Differential Equations Class 12 Formulas Pdf With Notes Vidyakul

Rd Sharma Solutions For Class 11 Chapter 11 Trigonometric

Rd Sharma Solutions For Class 11 Chapter 11 Trigonometric

Trigonometry Formula Theory Solved Examples And More

Trigonometry Formula Theory Solved Examples And More

General Solution For Sinx Cosx Is A 2npi Pi 4 N In I B

General Solution For Sinx Cosx Is A 2npi Pi 4 N In I B

Https Encrypted Tbn0 Gstatic Com Images Q Tbn 3aand9gcrkpmo Srasfezs6t0xa3y7nbqabax7qrsncccuhzfqrhxevy2ib2iwlxj2ljv Khq Usqp Cau

Https Encrypted Tbn0 Gstatic Com Images Q Tbn 3aand9gcrkpmo Srasfezs6t0xa3y7nbqabax7qrsncccuhzfqrhxevy2ib2iwlxj2ljv Khq Usqp Cau

Astc Formula

Astc Formula

Trigonometry For Dummies Cheat Sheet Dummies

Trigonometry For Dummies Cheat Sheet Dummies

Trigonometry Study Material Pdf Exams Daily

Trigonometry Study Material Pdf Exams Daily

Trigonometry 2 Stem

Trigonometry 2 Stem

Trigonometric Equations Its Solutions Study Material For Iit

Trigonometric Equations Its Solutions Study Material For Iit

Could Someone List All The Trigonometry Related Formulas For Class

Could Someone List All The Trigonometry Related Formulas For Class

Rd Sharma Class 11 Solutions Maths Chapter 11 Trigonometric

Rd Sharma Class 11 Solutions Maths Chapter 11 Trigonometric

Trigonometric Multiple And Sub Multiple Angle Formulas

Trigonometric Multiple And Sub Multiple Angle Formulas

Overview Tool Eeweb Community

Overview Tool Eeweb Community

Omtex Classes Trigonometric Functions

Omtex Classes Trigonometric Functions

Class 10 Maths Formula Pdf Download With Images Math Formulas

Class 10 Maths Formula Pdf Download With Images Math Formulas

Differential Equations Introduction Video Khan Academy

Differential Equations Introduction Video Khan Academy

1 Trigonometry 1 0 Introduction 1 1 Sum And Product Formulae

1 Trigonometry 1 0 Introduction 1 1 Sum And Product Formulae

Https Arxiv Org Pdf 1802 09343

Https Arxiv Org Pdf 1802 09343

Jee Main Advanced Mathematics Trigonometric Equations Notes

Jee Main Advanced Mathematics Trigonometric Equations Notes

1 Trigonometry 1 0 Introduction 1 1 Sum And Product Formulae

1 Trigonometry 1 0 Introduction 1 1 Sum And Product Formulae

Trigonometry Formulas And Identities Full List Teachoo

Trigonometry Formulas And Identities Full List Teachoo

Ncert Solutions For Class 11 Maths Chapter 3 Trigonometric

Ncert Solutions For Class 11 Maths Chapter 3 Trigonometric

General Solutions Of Triangles Read Trigonometry Ck 12

General Solutions Of Triangles Read Trigonometry Ck 12

Rs Aggarwal Solutions For Class 11 Chapter 17 Trigonometric

Rs Aggarwal Solutions For Class 11 Chapter 17 Trigonometric

Inverse Trigonometric Functions Wikipedia

Inverse Trigonometric Functions Wikipedia

Trigonometry Emaths Ie For Lchl Maths Students

Trigonometry Emaths Ie For Lchl Maths Students

How To Solve Problems Based On General Solutions Of Trigonometric

How To Solve Problems Based On General Solutions Of Trigonometric

General Solutions Of Trigonometric Functions Maths First

General Solutions Of Trigonometric Functions Maths First

Pdf Student S Difficulty Identification In Completing The Problem

Pdf Student S Difficulty Identification In Completing The Problem

Solving Trigonometric Equations Math 126 Precalculus

Solving Trigonometric Equations Math 126 Precalculus

Astc Formula

Astc Formula

12 X1 T05 06 General Solutions 2012

12 X1 T05 06 General Solutions 2012

Trigonometry Formulas For Class 11 Pdf Download

Trigonometry Formulas For Class 11 Pdf Download

Ncert Solutions For Class 11 Maths Chapter 3 Trigonometric Functions

Ncert Solutions For Class 11 Maths Chapter 3 Trigonometric Functions

Inverse Trigonometric Functions General Solution Of

Inverse Trigonometric Functions General Solution Of

How To Solve Trigonometric Equations 8 Steps With Pictures

How To Solve Trigonometric Equations 8 Steps With Pictures

Https Www Govst Edu Uploadedfiles Academics Colleges And Programs Cas Trigonometry Short Course Tutorial Lauren Johnson Pdf

Https Www Govst Edu Uploadedfiles Academics Colleges And Programs Cas Trigonometry Short Course Tutorial Lauren Johnson Pdf

Solved Get Help Entering Answers See A Similar Example

Solved Get Help Entering Answers See A Similar Example

Pdf Solving Second Order Differential Equations David

Pdf Solving Second Order Differential Equations David

Important Math Formulas For Ssc Exam Download In Pdf Ssc Exam

Important Math Formulas For Ssc Exam Download In Pdf Ssc Exam

Solving Basic Trig Equations Worksheet Doc Tessshebaylo

Solving Basic Trig Equations Worksheet Doc Tessshebaylo

Inverse Trigonometric Functions Class 12 Formulas And Notes Vidyakul

Inverse Trigonometric Functions Class 12 Formulas And Notes Vidyakul

Class 12 Math Nots Download Pdf Inverse Trigonometric Functions

Class 12 Math Nots Download Pdf Inverse Trigonometric Functions

Trigonometric Equations Review Article Khan Academy

Trigonometric Equations Review Article Khan Academy

Jee Main Advanced Formulae Sheet Mathematics Theory

Jee Main Advanced Formulae Sheet Mathematics Theory

site traffic analytics